4.分数混合运算(二)(2) - 精版答案
第1题

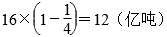
第3题
12 30 
第4题

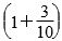
第5题
(1)3000×
+100=1900(元)
(2)3000×
=3900(元)
(3)3000+1900+3900=8800(元)
9000>8800 够
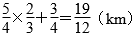
第6题
分析:甲公路没修的部分占其长度的
,说明修完的部分占其长度的
,正好修了
km,求得甲公路长
。乙公路没修的部分是甲公路长度的
,乙公路没修的长度是
,再加上乙公路修完的
km就是乙公路的长度。
解答:
…………(4分)
…………(3分)
答:甲公路长
(千米),乙公路长
(千米)。…………(1分)