1.分数乘整数 - 精版答案
第1题



第2题
(1)√
(2)×
(3)分析:分数乘整数,分子与整数相乘作分子,分母不变。
中的整数3应该与分子5相乘作分子,分母不变,这样才能得出正确的结果,正确的计算过程是
。
解答:×
(4)×
第3题
3 12 0 
第4题

第5题
> > = <
第6题
20 20 300 600 60 1500
第7题


第8题

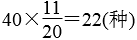
第9题

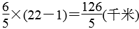
第10题

第11题

第12题




(1)√
(2)×
(3)分析:分数乘整数,分子与整数相乘作分子,分母不变。
中的整数3应该与分子5相乘作分子,分母不变,这样才能得出正确的结果,正确的计算过程是
。
解答:×
(4)×
3 12 0 

> > = <
20 20 300 600 60 1500







小学教材全练