2.一个数乘分数 - 精版答案
第1题

第2题

第3题
(1)√ (2)×
第4题



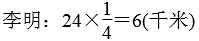
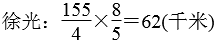
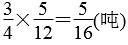
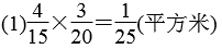
第5题
(1)分析:题中的
千克可以看成是1千克的
,回收1千克废旧书本可生产再生纸约
千克,求回收
千克废旧书本可生产再生纸约多少千克,也就是求
千克的
是多少,列式计算为
解答:
(3分)
答:回收
千克废旧书本可生产再生纸约
千克。 (4分)
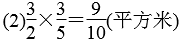
(2)
(千克) (7分)
答:回收
千克废旧书本可生产再生纸约
千克。 (8分)
第6题
< = > > < > = < > < 大 等于 小
第7题

第8题

第9题


第10题
分析:(1)
箱是1箱的
,1箱鸭蛋有80个,求80的
是多少,列式为80×
=20(个);(2)
箱是1箱的
,1箱鸭蛋有80个,求80的
是多少,列式为80×
=48(个)。
解答:(1)80×
=20(个) (6分)
(2)80×
=48(个) (12分)
第11题
有三种情况:(1)当绳长等于1米时,两根绳子用去的同样长;(2)当绳长大于1米时,第一根绳子用去的长一些;(3)当绳长小于1米且大于
米时,第二根绳子用去的长一些。
第12题
84岁