1.一般分数四则混合运算 - 精版答案
第1题
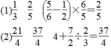
(1)乘 减 (2)除 加
第2题

第3题

第4题

第5题

第6题
分析:根据“猎豹的最高时速比尖尾雨燕最高时速的
少4千米”,可以写出等量关系式“尖尾雨燕的最高时速×
-4=猎豹的最高时速”,依据等量关系式列式为342×
-4。
解答:342×
-4=110(千米) (4分)
答:猎豹的最高时速是110千米。 (5分)
第7题

第8题

第9题


(1)乘 减 (2)除 加




分析:根据“猎豹的最高时速比尖尾雨燕最高时速的
少4千米”,可以写出等量关系式“尖尾雨燕的最高时速×
-4=猎豹的最高时速”,依据等量关系式列式为342×
-4。
解答:342×
-4=110(千米) (4分)
答:猎豹的最高时速是110千米。 (5分)




小学教材全练