2.整数运算定律的推广 - 精版答案
第1题

第2题
③ ④ ⑤ ①②
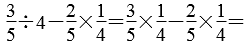
第3题
分析:此题要求用简便方法进行计算,其中
可以用被减数减去两个减数的和进行简算;
可以运用乘法分配律进行简算;
可以运用乘法交换律和乘法结合律把算式转化为
进行简算;
可以运用乘法分配律和加法结合律把算式转化为
进行简算。
解答:


=2×1=2





第4题
(1)第二次植树多少棵?
(2)第一次比第二次多植树多少棵?或第二次比第一次少植树多少棵?
(3)实际比计划多植树多少棵?或计划比实际少植树多少棵?
第5题

第6题

第7题

第8题
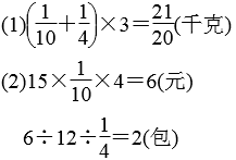
×25×4=50(千克)
第9题

第10题

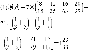
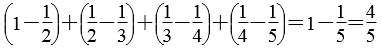
(2)原式=

第11题
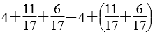
50+10=60(千克) 60÷
=70(千克) 70+10=80(千克)