3.稍复杂的分数乘法应用题(一) - 精版答案
第1题
(1)一袋米的质量 (2)兔子的总只数 (3)玉米的种植面积 (4)全校人数
第2题
(1)一段公路的总长度 一段公路的总长度 
(2)一批零件的总个数
一批零件的总个数 
(3)
5
第3题

第4题
(1)已经修了多少千米
(2)还剩多少千米没修
第5题

第6题

第7题
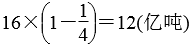
200×
-30=20(处)
第8题
500×
=200(棵)
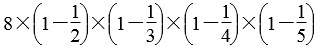
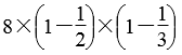
第9题
分析:第一次用去全长的
,剩下8×
米;第二次用去剩下的
,还剩
米;第三次用去剩下的
,还剩
;第四次用去剩下的
,还剩
米。
解答:

答:还剩下
米。 (10分)
第10题
