4.稍复杂的分数乘法应用题(二) - 精版答案
第1题
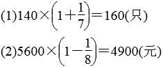
(1)四月份的产量 四月份的产量 五月份的产量
(2)
卖出的晚报份数 卖出的晚报份数 卖出的晨报份数
第2题
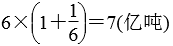
分析:(1)一批货物运走
,还剩1-
=
,而不是
吨,所以此题不正确;(2)小明今年的身高是在去年身高的基础上长高了
,所以把去年的身高看作单位“1”是正确的;(3)鸡的只数比鸭多
,可以把鸭的只数看作单位“1”,鸡的只数就是
,鸭的只数比鸡少
,所以此题不正确;(4)水结成冰后,体积增加
,可以把水的体积看作单位“1”,冰的体积就是1+
;冰化成水后,体积减少
,此题是正确的。
解答:(1)× (2)√ (3)× (4)√
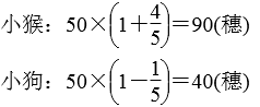
第3题
(1)A (2)B (3)C
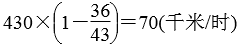
第4题

第5题

第6题

第7题

第8题

第9题
分析:第二天的门票收入比第一天多
,是把第一天的门票收入看作单位“1”。第三天的门票收入比第二天少
,是把第二天的门票收入看作单位“1”。先求出第二天的门票收入,再求出第三天的门票收入。
解答:第二天的门票收入:
960×
=1120(元)
第三天的门票收入:

第10题
