单元全练全测 - 第三单元全练全测
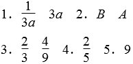
第一题

第二题
1.√ 2.× 3.√ 4.√
第三题
1.A 2.B 3.B 4.B 5.C
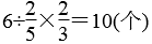
第四题
2. x=
x=84 x=2 x=
第五题

第六题

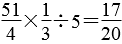
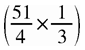
3.分析:可以先求出5天修了多少千米,5天修了
千米的
,即
千米,再求出平均每天修多少千米,列式为
;还可以先求出平均每天修了全长的几分之几,列式为
,再求出平均每天修多少千米。列式为
。
解答:
(千米)或
(千米)
4.

1.√ 2.× 3.√ 4.√
1.A 2.B 3.B 4.B 5.C
2. x=
x=84 x=2 x=


3.分析:可以先求出5天修了多少千米,5天修了
千米的
,即
千米,再求出平均每天修多少千米,列式为
;还可以先求出平均每天修了全长的几分之几,列式为
,再求出平均每天修多少千米。列式为
。
解答:
(千米)或
(千米)
4.
小学教材全练